• -22,5%
Castrol POWER 1 15w50 4T 4L Öl
Castrol-Öl POWER 1 15w50 4T 4L
Castrol POWER 1 15w50 4T 4L Öl
Castrol-Öl POWER 1 15w50 4T 4L

Castrol POWER 1 15w50 4T 4L Öl

Castrol Power 1 15W50 4T Motoröl. 4l Flasche.

15F589
Auf Lager. Erhalten Sie ihn am 24/48H
35,98 € 46,42 € -22,5%
Bruttopreis

 

Castrol-Öl POWER 1 15w50 4T 4L

CASTROL POWER 1 15w50 4L für 4-stufige Motoren. 4 Liter Verpackung. Ein Öl, das für eine anspruchsvolle Hochtemperatur-Leitung entwickelt wurde. Mit seiner Power Protection Formel schützt es Ihren Motor vor der Anhäufung von Tanks, die die Lieferung von Leistung auf Ihrem Motorrad reduzieren.

Merkmale

  • Semi-seenetische

  • Trizone Technologie™

  • Formel Power Protection

  • Für Hochleistungs-Sport-Motorräder

  • Ermöglicht den Leistungsschutz während der Intervalle zwischen den Ölwechseln

  • API SJ

  • JASO MA-2

Dieses hochwertige und fortschrittliche 4-Zeit-Gleitmittel wurde speziell entwickelt, um den Motor vor der Bildung von Sedimenten zu schützen, die die Leistung reduzieren.

Er wurde unter schwierigen Fahrbedingungen bei speziellen Motortests getestet, die seine außergewöhnliche Fähigkeit zur Kontrolle der Behälter unter Beweis stellen, so dass die gesamte Leistung während des gesamten Betriebsintervalls erhalten bleibt.

Darüber hinaus hat es einen Mehrwert: die Trizone-Technologie™ die die beste Leistung und den besten Schutz des Motors, Kupplung und Getriebe gewährleistet.

Leistung

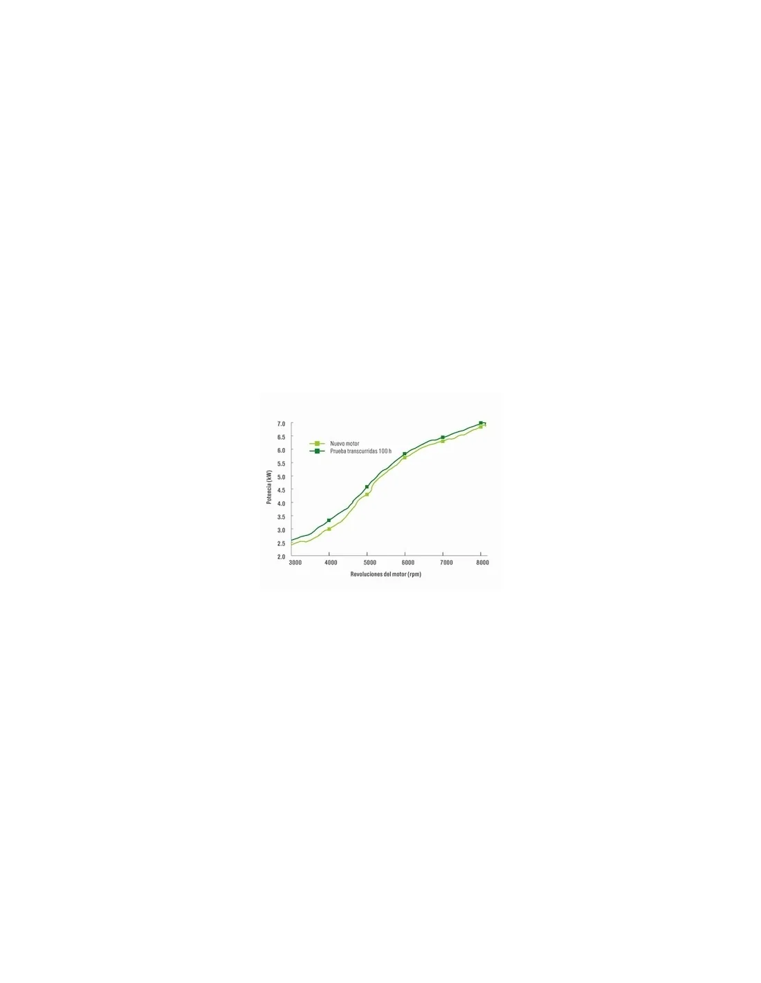
Die vorliegende Grafik zeigt, wie CASTROL Power 1 4T 15W-50 den Motor in die Gleiche Leistung unter betrieblichen Bedingungen und nach 100 Stunden bei hohen Geschwindigkeiten, hoher Belastung und Temperatur entwickelt. Vermeidung von Tanks und diese außergewöhnlichen Reinigungsstufen ermöglichen es, maximale Leistung über den gesamten Intervall zu erreichen.

LESEN SIE MEHR ÜBER DIE ÖLKLASSIFIKATION:

SAE: Öl viskosität. (15W) Kaltviskosität (50) Hochtemperaturviskosität

SJ-API:Flüssigkeit bei niedriger Temperatur und Schutz des Motors mit hoher Drehzahl. Niedriger Kraftstoffverbrauch.

JASO MA-2: Unverzichtbar für Motoren mit öldurchfluteter Kupplung.

ART Produkt
Öl Motoren 4T
1 Artikel
No reviews

Vielleicht gefällt Ihnen auch

8 andere Artikel in der gleichen Kategorie:

Product added to wishlist